| Species | Location | Country | Cultivar | Year Start | Year End | n |
|---|---|---|---|---|---|---|
| Almond | Meknes | Morocco | Ferragnes | 1977 | 2014 | 38 |
| Almond | Meknes | Morocco | Marcona | 1977 | 2014 | 38 |
| Almond | Meknes | Morocco | Tuono | 1974 | 2014 | 41 |
| Almond | Santomera | Spain | Achaak | 1997 | 2019 | 13 |
| Almond | Santomera | Spain | Desmayo | 1997 | 2022 | 21 |
| Almond | Santomera | Spain | Marta | 2005 | 2021 | 14 |
| Almond | Sfax | Tunisia | Fasciuneddu | 1981 | 2015 | 22 |
| Almond | Sfax | Tunisia | Mazzetto | 1981 | 2015 | 22 |
| Almond | Sfax | Tunisia | Nonpareil | 1981 | 2016 | 23 |
| Apricot | Cieza | Spain | Bulida | 2003 | 2022 | 21 |
| Apricot | Cieza | Spain | Dorada | 2003 | 2022 | 20 |
| Apricot | Zaragoza | Spain | Goldrich | 1999 | 2021 | 21 |
| Apricot | Zaragoza | Spain | Harcot | 1999 | 2022 | 22 |
| Apricot | Zaragoza | Spain | Henderson | 1999 | 2021 | 21 |
| Apricot | Zaragoza | Spain | Sunglo | 1999 | 2022 | 22 |
| Sweet Cherry | Klein-Altendorf | Germany | Burlat | 1978 | 2015 | 29 |
| Sweet Cherry | Klein-Altendorf | Germany | Regina | 1988 | 2020 | 32 |
| Sweet Cherry | Klein-Altendorf | Germany | Schneiders | 1984 | 2019 | 32 |
| Sweet Cherry | Zaragoza | Spain | Rainier | 1991 | 2022 | 24 |
| Sweet Cherry | Zaragoza | Spain | Sam | 1991 | 2022 | 24 |
| Sweet Cherry | Zaragoza | Spain | Van | 1991 | 2022 | 24 |
Supplementary Material to the Manuscript: Combining temperate fruit tree cultivars to fit spring phenology models
Sumbited to International Journal of Biometeorology
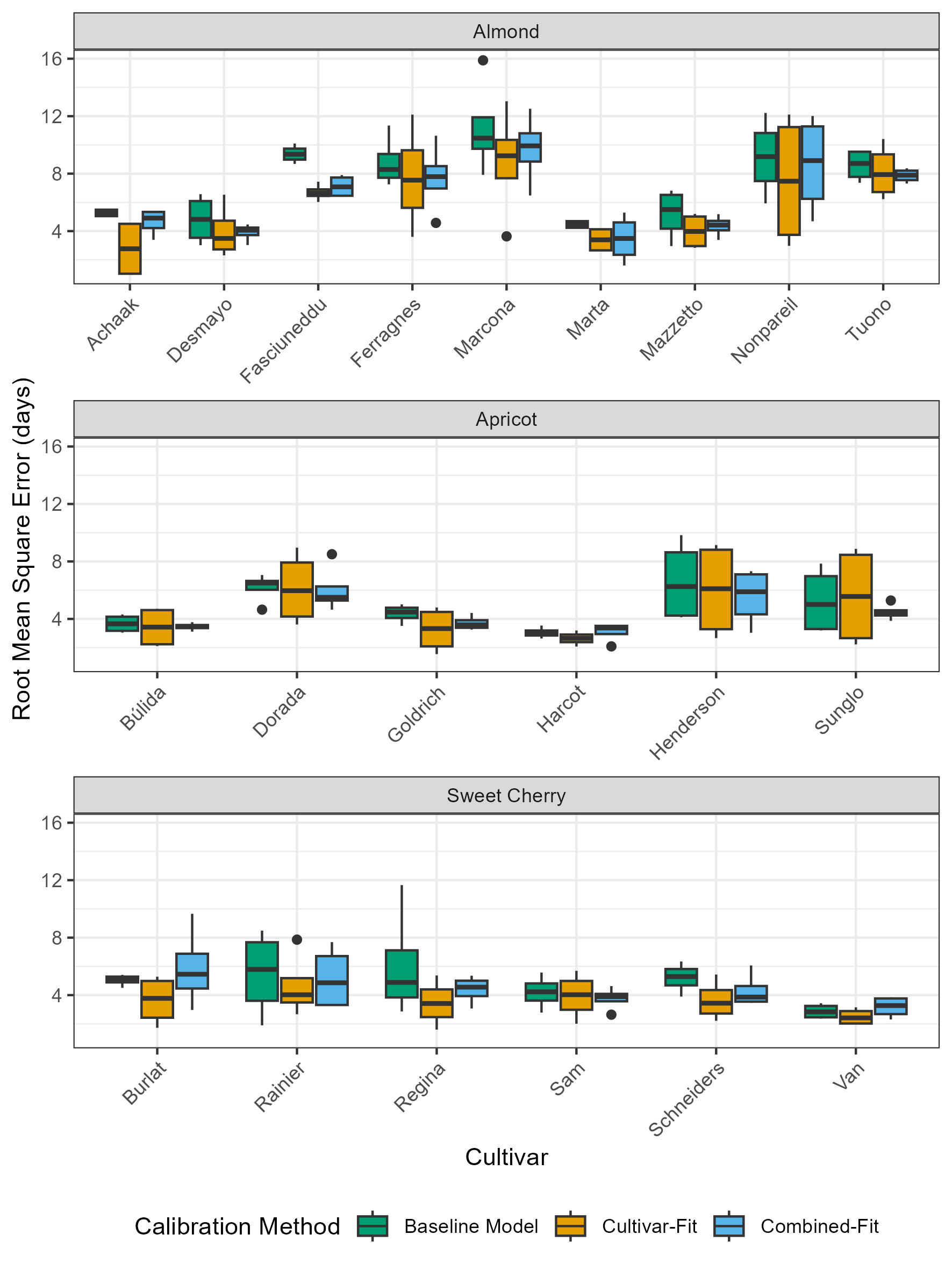
Phenological datasets for temperate fruit trees are often short , fragmented and geographically restricted, which hampers the development of cultivar-specific spring phenology models. To address this, we propose a novel calibration approach (“combined-fitting”), which pools observations from several cultivars of the same species, distinguishing between shared and cultivar-specific parameters. This method requires fewer observations per cultivar and allows jointly analyzing cultivars of the same species. We evaluate combined-fitting using the PhenoFlex framework, comparing it to a baseline model and to models that are fitted only with data for single cultivars (“cultivar-fit”). Our analysis is based on flowering data from nine almond, six apricot and six sweet cherry cultivars across Mediterranean (Spain, Morocco, Tunisia) and German climates. The combined-fit model failed to achieve higher prediction accuracy compared to the cultivar-fit and the baseline approach, as evidenced by similar root mean square errors across the data splits and calibration dataset sizes. When comparing the estimated parameters of the chill and heat accumulation submodels, we observed a large variation among cultivars of the same species in the cultivar-fit models. In contrast and by design, the combined-fit yielded only one parameter set for cultivars of the same species. Our findings demonstrate that integrating data from multiple cultivars can yield spring phenology models with high accuracy. Even though the combined-fit approach did not outperform the cultivar-fit approach, combined-fitting offers a practical solution for spring phenology modeling with limited datasets and facilitates comparison across cultivars of the same species.
dormancy, model calibration, data-scarcity, almond, phenology, flowering
1 Introduction
This document contains supplementary materials for the journal article: Combining temperate fruit tree cultivar to fit spring phenology models. It includes additional tables and files that were not part of the main article, as well as the code to replicate the analyses.
The phenology analyzed here are part of a long-term phenology dataset (Luedeling, Caspersen, Delgado Delgado, et al., 2024) compiled within the Adapting Mediterranean Orchards (AdaMedOr) project. Of the more than 270 cultivars in the dataset, a subset of 110 cultivars has been analyzed by Caspersen et al. (2025) using the PhenoFlex framework (Luedeling et al., 2021), available via the R package chillR (Luedeling, Caspersen, & Fernandez, 2024). In addition to model calibration, the analysis includes climate change impact projections on future bloom dates.
More than 50% of the cultivars in the dataset were not analyzed because the bloom observations were considered too short for calibration with PhenoFlex. We propose an alternative calibration method, combine- fitting, which reduces the number parameters estimated per cultivar and may allow the joint analysis of cultivars of the same fruit tree species. We evaluate combined-fit approach for three temperate fruit and nut species (almond, apricot, sweet cherry) and compare the results with those from a baseline model and from a common calibration approach in which each cultivar is calibrated separately. We perform the analysis for the full dataset and for an artificially shortened dataset.
Parts of the function that we present in this document are available via the R packages evalpheno (Caspersen, 2025a) and LarsChill (Caspersen, 2025b). Both packages are currently available via GitHub.
2 Supplementary Table
3 Supplementary Figure
4 Supplementary Code
4.1 Data splitting
This notebook shows the preparation of the phenology data. Performs calibration and validation data splits. Check out the notebook for more details:
4.2 Model Calibration
When calibrating the model, we specified the search space for each model parameter. We substituted the model parameters E0, E1, A0 and A1 of the chill submodel with intermediate parameters \(\theta^*\) , \(\theta_c\) , \(\pi_c\) and \(\tau\) , following Egea et al. (2021) and implemented for PhenoFlex by Caspersen et al. (2024). Additionally, we restricted parameters, so that the E10 quotient of the process modeling chill formation and degradation ranges between 1.5 and 3.5, a range said to be realistic in biological systems (Egea et al., 2021; Luedeling et al., 2021). During model calibration, the optimization algorithm ran for 5,000 iterations for baseline model; 30,000 evaluations for single-fit; 50,000 evaluations for combined fit. We chose different total number of evaluations for the calibration methods, to account for varying number of model parameters estimated during each individual calibration step. The optimization algorithm estimates model parameters by minimizing the residual sum of squares (RSS) of predicted and observed bloom dates. In a pre-trial we confirmed that by the end of the total number of model evaluations the RSS converged, indicating that the algorithm fails to find parameters providing better model performance.
These three notebooks perform the model calibration. The notebook for almond calibration has also some more comments on the different procedures. The notebooks for apricot and sweet cherry only contain the uncommented code.
4.3 Model Evaluation
This code shows how the calibrated models are evaluated. This script generates figures and tables for the manuscript.
References
Citation
@online{caspersen2025,
author = {Caspersen, Lars and Schiffers, Katja and Jarvis-Shean,
Katherine and Luedeling, Eike},
title = {Supplementary {Material} to the {Manuscript:} {Combining}
Temperate Fruit Tree Cultivars to Fit Spring Phenology Models},
date = {2025-11-20},
langid = {en},
abstract = {Phenological datasets for temperate fruit trees are often
short , fragmented and geographically restricted, which hampers the
development of cultivar-specific spring phenology models. To address
this, we propose a novel calibration approach (“combined-fitting”),
which pools observations from several cultivars of the same species,
distinguishing between shared and cultivar-specific parameters. This
method requires fewer observations per cultivar and allows jointly
analyzing cultivars of the same species. We evaluate
combined-fitting using the PhenoFlex framework, comparing it to a
baseline model and to models that are fitted only with data for
single cultivars (“cultivar-fit”). Our analysis is based on
flowering data from nine almond, six apricot and six sweet cherry
cultivars across Mediterranean (Spain, Morocco, Tunisia) and German
climates. The combined-fit model failed to achieve higher prediction
accuracy compared to the cultivar-fit and the baseline approach, as
evidenced by similar root mean square errors across the data splits
and calibration dataset sizes. When comparing the estimated
parameters of the chill and heat accumulation submodels, we observed
a large variation among cultivars of the same species in the
cultivar-fit models. In contrast and by design, the combined-fit
yielded only one parameter set for cultivars of the same species.
Our findings demonstrate that integrating data from multiple
cultivars can yield spring phenology models with high accuracy. Even
though the combined-fit approach did not outperform the cultivar-fit
approach, combined-fitting offers a practical solution for spring
phenology modeling with limited datasets and facilitates comparison
across cultivars of the same species.}
}
